Why Are Airplane Wings Swept Backwards?

Airplane wings are often designed with a backward angle, known as the sweep angle, to optimize performance at high speeds, especially near or beyond the speed of sound. This design is not arbitrary but rooted in fundamental principles of aerodynamics. To understand why swept wings are essential, we need to examine how airflow behaves over a wing, the challenges posed by shock waves, and how swept wings mitigate these effects to enable higher flight speeds.

1. The Behavior of a 2D Airfoil and Supersonic Flow

When air passes over an airfoil (the cross-section of a wing), the unique shape of the airfoil causes the airflow to accelerate over the upper surface. Even if the airplane itself is flying at subsonic speeds, the geometry of the wing can lead to a local acceleration of the airflow, which may exceed the speed of sound in certain regions.  As the air accelerates over the curved upper surface of the airfoil, its velocity increases, and its pressure decreases. This acceleration can sometimes push the local airflow velocity past Mach 1 (the speed of sound), especially near the thickest part of the wing. When this happens, a shock wave forms.

2. What Are Shock Waves and Why Control Them?

A shock wave is a sudden and drastic change in the properties of the airflow, including pressure, temperature, and density. It occurs when air transitions from supersonic to subsonic speeds in a very short distance. These waves cause:

  • A sharp increase in drag, known as wave drag,

  • A potential destabilization of the aircraft, as airflow separation behind the shock wave reduces lift.

Controlling or delaying the formation of shock waves is crucial for efficient flight. This is where the concept of the critical Mach number becomes important.

3. What Is the Critical Mach Number?

The critical Mach number is the lowest Mach number at which airflow over some part of the wing reaches Mach 1. Beyond this point, shock waves begin to form, leading to an increase in drag and a loss of efficiency. The critical Mach number is specific to the shape of the wing and can be expressed as:

where:

  • V - is the velocity of the aircraft,

  • a - is the speed of sound at the current altitude and temperature.

For straight wings, the critical Mach number is relatively low, meaning shock waves form at lower flight speeds. Swept wings, however, address this limitation by altering how the airflow interacts with the wing.

4. Swept Wings vs. Straight Wings

Swept wings reduce the effective Mach number experienced by the wing by changing the angle at which the airflow meets the wing. The airflow can be decomposed into two components:

where we find:

  • A perpendicular component , which affects lift and drag, called Mach 2D

  • A parallel component , which does not affect lift or drag. called Mach //

This reduction means that the flow over a the 2D sections of the wing is slower compared to the freestream velocity, in other words the critical Mach number for a swept wing is effectively higher than that of a straight wing. This means even if the plane is flying at a certain speed, the wing “feels” a lower velocity.

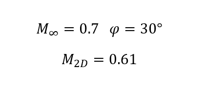
Numerical Example

Let’s compare a straight wing and a swept wing with a sweep angle :

  • Assume the critical Mach number for a straight wing is 0.7 and a 30° sweep angle

  • For the swept wing with a 30° sweep angle we have


So the critical Mach number is reduced due to the effect of the sweep angle. If you want to apply this concept in the opposite direction you can say that the sweep angle allows the plane to go faster before encountering the same critical mach number of a rectangular wing. As a result, the swept wing allows for higher flight speeds while delaying the onset of wave drag and maintaining efficiency.

Benefits of Swept Wings

By incorporating a sweep angle, wings achieve several key advantages:

  1. Higher Speed Capability: Swept wings delay the onset of shock waves, reducing drag and enabling faster flight.

  2. Improved Stability: The backward angle enhances lateral stability, making the aircraft easier to control.

  3. Wave Drag Reduction: By reducing the effective Mach number, swept wings minimize wave drag at transonic speeds.

Conclusion

Swept wings are a cornerstone of modern aircraft design, enabling efficient and stable flight at high speeds. By reducing the effective Mach number and delaying the onset of shock waves, they allow aircraft to achieve greater performance while maintaining aerodynamic efficiency. This innovation underscores the importance of aerodynamics in shaping the capabilities of aviation technology.

Youtube Video

If you’re curios about this topic, check my YouTube Video by clicking on the image below…

Previous
Previous

xlfr5 - open source cfd tool

Next
Next

Angle of attack vs Angle of incidence - the complete guide